General Instructions :-
- Rotate your Mobile Device for Best Performance and Design.
- Total duration of examination is 150 minutes. (20 minutes extra for every 150 minutes (2.5 hour) of the examination time for candidates with disability eligible for compensatory time).
- Total number of questions are 240, which contains 80 questions of General Awareness, 20 questions of Science, 70 questions of Reasoning & 70 questions of Math.
- The Question Palette displayed on the right side of screen will show the status of each question using one of the following symbols:
- Not Visited questions in White background colour.
- Answered questions in green colour.
- Unanswered questions in red colour.
- Marked for review questions in purple colour
- The clock will be set at the server. The countdown timer in the top right corner of screen will display the remaining time available to you for completing the examination. When the timer reaches zero, the examination will automatically submit or end by itself. You also can end or submit your examination by clicking on submit button.
- Marked for review status for a question simply indicates that you would like to review the question again.
- Please note that if a question is answered and ‘marked for review’, your answer for that question will be considered in the evaluation.
- You can click on the question palette to navigate faster across questions.
Answering a Question :-
- Procedure for answering multiple-choice type questions:
- To select your answer, click on the button of one of the options.
- To deselect your chosen answer, click again on the button of the chosen option again or click on the Clear Response button.
- To change your chosen answer, click on the button of another option.
- To save your answer, you MUST click on the Save Next button.
- To mark a question for review, click on the Mark for Review & Next button.
- To change answer to a question that has already been answered, select that question from the Question Palette and then follow the procedure for answering that type of question.
- Note that ONLY questions for which answers are either saved or marked for review after answering, will be considered for evaluation.
- To change your answer to a question that has already been answered, first select that question for answering and then follow the procedure for answering that type of question.
- Note that ONLY Questions for which answers are saved or marked for review after answering will be considered for evaluation.
Navigating through sections :-
- Click on the question number in the Question Palette at the right of your screen to go to a question.
- Note that using this option does NOT save your answer.
- Click on Save & Next to save your answer for a question and then move to the next question.
- If you want to keep a question marked for review, click on the button Mark for Review & Next to save your answer for the current question and then proceed to the next question.
Read the following Instruction carefully :-
- This test comprises of multiple-choice questions.
- Each question will have only one of the available options as the correct answer.
- You are advised not to close the browser window before submitting the test.
- In case, if the test does not load completely or becomes unresponsive, click on browser's refresh button to reload.
Marking Scheme :-
- 1 marks will be awarded for each correct answer.
- There will be 0.25 negative marking for each wrong answer.
- No marks will be deducted for un-attempted questions
SECTION
Which country is known as 'Land of a thousand lakes?
Magna Carta is the charter of rights issued by ________
What is the collective form of interest rate, collateral and documentation requirements and repayment method?
Which of the following games is played with the help of table?
In which of the following sports/sports, goalkeepers need to wear helmets?
Which of the following is in the UNESCO Natural World Heritage Sites List?
Kichiopolari Lake is located in which of the following states?
From where in the preamble of our constitution, the ideals of freedom, equality and fraternity have been taken?
Pushkar Fair is the annual animal fair held in which state of India?
Which of the following areas is produced in Sheri wines?
Brahmaputra makes a deep trench near ______ in the middle Himalayas
In order to start a cricket match, how many players should each player have, besides the substitute players?
In the Forest Policy of India, what was the target of forest in the ratio of the following area ratio of the country?
Which of the following was written by Raja Ram Mohan Roy?
In 1877, whom Viceroy Lytton organized a court to be distinguished as Queen of India?
Who was the first Indian woman to become the President of Indian National Congress?
Who was killed in the fourth Anglo-Mysore war in Srirangpatnam?
In Indian history, who was called "Badshah Khan"?
What is the first linguistic state in India
When was the All India Muslim League formed in Dhaka?
Which of the following determines whether a bill is a money bill or not?
India's Supreme Court inaugurated in ______ years
Dandiya is the traditional folk dance of which Indian state?
Belongs to Article 324 _____ of Indian Constitution
Antyodaya Anna Yojana was started in _____. year
Which of the following states sometimes faces floods during the withdrawal of the monsoon phase?
What is Federation Internationale de Nation Aquatics (FINA) related to?
Which of the following fields produces manufactured goods?
Which of the following schools of Buddhism is known as School of Elder Monks (School of Bodhishek's Schools)?
Indian socialism is a mixture of ______
During the year, the process of growing more than one crop on a piece of land is called
Which of the following states is under zone 1-highly dry prone area?
Which of the following is the world's most northern capital city?
Which of the following is the head of the Indian Republic?
The State Reorganization Act was implemented in ______
What is the capital of the Hawaiian Islands?
Which of the following sports/sports is a cheap game like kabaddi because it does not re more equipment?
'Net Domestic Product (NDP) is equal to ______
Which of the following sports/sports are related to aerobics?
The provision of judicial review in the Constitution of India was taken from ______
Panna district of Madhya Pradesh is famous for what?
Maori people are from which of the following countries?
In what place did Gandhiji challenge the "do or die" during the Quit India Movement?
When was the first session of the Indian National Congress?
Which of the following shalas is made from wool of wild sakin in the Himalayas?
Who is the Chairman of National Integration Council in India?
Who was called "Jat Caste Plato"?
Which of the following sports / sports are solidarity when playing?
Which of the following is the longest mountain range in the world?
By what name is the International Reconstruction and Development Bank (IBRD) known?
What is the arrangement between the caste and the village community for the supply of goods and services?
What is the fundamental duties in Article 51A of Indian Constitution?
Who was the defense minister in the interim government formed in 1946?
Which of the following rivers is the largest basin area in Peninsular India?
Who was the father of 'White Revolution' in India?
Where was the headquarters of Theosophical Society in British India ?
In which of the following countries was the highest temperature recorded in the world?
What is the article of Indian Constitution related to the protection of minorities?
What was the name of that Portuguese explorer who discovered the new sea route of India from Europe in 1498?
By what name is the Emergency caused by war, external attack or armed assassination?
Which of the following is called the architect of the Indian economy?
In what form is there a provision for the Finance Commission in Article 280 of Indian Constitution ?
Jog is situated on which river?
Which of the following sports / sports require a net?
Which is the longest river in Southeast Asia?
The word 'jump ball' is related to which of the following sports / sports?
Who can increase self-confidence in the training of sports, help to strengthen morale and act as a friend and counselor?
What is the adherence of honey bees?
Who was the chairperson of the first Parliament of Independent India as a legislative body?
What does the word 'divorced' mean in Urdu?
Which Indian state is inhabited by the Atmani tribe ?
Who started the permanent settlement in Bengal and Bihar in 1793?
What year was adopted by the Indian Parliament for industrial policy resolution?
When was the new economic policy launched in India?
The Indian style of wrestling is also called _____
How many parts are present in the Constitution of India?
Where is the Forest Research Institute located?
How many topics are basically in the Union List?
Which country of 2020 will be hosted by the Summer Olympics?
Place the option instead of the question mark which follows the argument applied to the first pair
2017: 30 :: 2557: ??
Which of the following transmits impulse from sensory neuron to motor neuron?
How is the quantity of substance measured in Si unit?
___________ is a chemical decomposition type of reaction in which a compound is reacted with water and divided into other compounds
Which of the following is called a limited charge in the unit area of a driver?
The metals that produce ringing sounds are called ______
Which of the following tools is used to ascertain whether a mass is charged or not?
The disease causing microorganism is called ______
Which is used to increase soil fertility by stabilizing nitrogen in agriculture?
When a reaction affects the rate of other reaction, which is not in normal circumstances, th phenomenon is known as _____
Which nutrition ingestes the complex ingredients produced by other fossils?
The magnetic field lines within the periphery are in the form of ______
Electric energy dispersed in the resistive is expressed by ________
Which of the following is the type of precipitation ?
What is the synthesized molecule using energy released during cellular respiration?
All synthetic fibers using raw materials of petroleum are prepared by many processes, they say _________
Which of the following in humans removes the excretory substances in the form of soluble nitrogen compounds?
What is called water-soluble alkali?
What is the fragmentation of white light in its component colors?
When fat and oil are oxidized then they become ______ and changes in their odor and taste.
Which of the following is known for the growth of a large quantity of grain production using high-yield variety (HYV)?
In a code language, if MEANT is coded as PHVQW, what will be the code of LASER in that language?
Find the next number in this series.
10, 35, 60, 85, 110,?
In this question, three conclusions have been given after three conclusions. Believe in given in the statements, consider the two conclusions together and decide that on the basis of the information given in the statements, which of them follows beyond rationally and reasonable doubt.
Statement: Some buds are flowers. All flowers are choppy. Some copples are colorful.
Conclusion:
i) There are some blankets buds.
ii) Some flowers are colorful
iii) Some buds are colorful
In this question, after a statement i and ii two conclusions have been given. Considering the fact given in the statement together, consider both the findings simultaneously and decide on which one of them follows beyond the rationally and reasonable doubt based on the information given in the statement.
Statement: Unemployment allowance is given to all the unemployed persons above the age of 18 years. Raj is 18 years old.
Conclusion:
i) If he is unemployed then the state will get unemployment allowance.
ii) If he is employed, the state will not get unemployment allowance
Choose the appropriate one of the following options
(A) only follows the conclusions i
B) Only conclusions follow ii
(C) either i or ii follows
(D) neither i nor ii follows
(E) both i and ii follow
Carefully read the given information and then answer the given questions.
The six friends A, B, C, D, E, and Fare sitting in a way around the center of a circular table in such a way that they remain in equal space between each of them (not necessarily in this order).
i) A and D are at the same distance from your left and right sides.
ii) E, which is second to the right of D, is second to the left of F
iii) B never sits in front of E.
Who sits in the second place on the left side of the person who is the third from the right of E?
Four of the following five are somehow similar and therefore create a group. What is the one who does not come in this group?
U, L, Q, Z, X
How many right-angled triangles can be made from the given shape?

Poor: Rich: Upload: ?? with reference given to the question mark according to the logic used in the first pair
How straight lines are in given shape?

In this question, there are three statements showing the relationship, after which i, ii and iii have been given three conclusions. Assuming that the given statements are true, find out which conclusions are definitely true /.
Statement: C <O ≤ N; N = T> E; E> X ≥ S
Conclusion:
i) N> X
ii) T> S
iii) S <N
In this question, the relation between the various elements is shown in the statement. After the statement, two conclusions are given:
Statement: C < O ≤ M = I > N ≥ G
Conclusions:
i) M> G
ii) N <C
Choose one of the following options
(A) only follows the conclusions i
(B) Only conclusions follow ii
(C) either i or ii follows
(d) neither i nor ii follows
(i) i and ii both follow
Replace with the appropriate option given to the question mark according to the logic used in the first pair
Install: Uninstall : : Buy: ??
A quote is given in this question after which a statement has been given. Read the quotation carefully and determine the statement based on the given quotation.
Amazon has acknowledged a case of data breach (data secrecy rule violation) related to highlighting users' names and email IDs, without giving details about the nature or scope of the event. However, the company has not disclosed the total number of users affected by the violation. An email has been sent to all affected users, which notifies them only about technical error. And now, this e-commerce giant is reportedly offering gift cards as compensation to their data breach victims. The Seattle headquarters e-commerce company has also offered gift cards between $ 5 to $ 100 for some of those users, who have been affected by this violation. A publication citing an email correspondence between Amazon and the customer, Paul Gagnon said that when he called the customer service desk of the company and questioned the leaked data, the company would give him a promotional certificate worth $ 100. Offered. When Gaganone could not be told about the data being leaked, then he was offered a $ 100 apology apology. Many people affected by Breach filed a complaint with the company but none of them got any response from the company till now. It is being said that Amazon customers' supervisors have been instructed to comment on any kind of compensation or not to offer compensation to affected Amazon users.
Statement: Mr. Paul has received a promotional certificate worth $ 100 as forgiveness, but there is no reason why the cause of data violation.
Choose the appropriate option from one of the following options.
A-Quote is definitely true.
B-statement is probably true
C-statement can not be determined.
D-statement is definitely false.
Carefully read the given information and then answer the given questions.
The six friends A, B, C, D, E, and F are sitting in a way around the center of a circular table in such a way that they remain in equal space between each of them (not necessarily in this order).
i) A and D are at the same distance from your left and right sides.
ii) E, which is second to the right of D, is second to the left of F.
iii) B never sits in front of E.
If 'A' changes its position with 'D' and 'B' with E, then who sits at the fourth position on the left side of F?
Four of the following five are somehow similar and therefore create a group. Who is the one who does not belong to this group?
Empty, Blank, Unfilled, Vacant, Full
In accordance with the logic used in the first pair, replace the question mark with the appropriate
: 59713: 799 13069:??
A man said to his wife, "The woman you see in the photo is the mother of your husband's wife's only son." How is that person related to the photograph of the woman?
A quote is given in this question after which a statement has been given. Read the quotation carefully and determine the statement based on the given quotation. Amazon has acknowledged a case of data breach (data secrecy rule violation) related to highlighting users' names and email IDs, without giving details about the nature or scope of the event. However, the company has not disclosed the total number of users affected by the violation. An email has been sent to all affected users, which notifies them only about technical error. And now, this e-commerce giant is reportedly offering gift cards as compensation to their data breach victims. The Seattle headquarters e-commerce company has also offered gift cards between $ 5 to $ 100 for some of those users, who have been affected by this violation. A publication citing an email correspondence between Amazon and the customer, Paul Gagnon said that when he called the customer service desk of the company and questioned the leaked data, the company would give him a promotional certificate worth $ 100. Offered. When Gaganon could not be told about the data being leaked to him, then he was offered $ 100 as a replacement. Many people affected by Breach filed a complaint with the company but none of them got any response from the company till now. It is being said that Amazon customers' supervisors have been instructed to comment on any kind of compensation or not to offer compensation to affected Amazon users.
Statement: The Company informed all the users about data breach through mail.
Choose the appropriate option from one of the following options
A-Quote is definitely true.
B - The statement is probably true.
C-statement can not be determined.
D-statement is definitely false
Read the following statements and answer the following question.
A4B means A is the mother of A,
A3B means A is the father of A,
B is A5B, meaning A is the sister of A,
A7B means that A is the brother of A,
in the equation P7Q7R5S, what is the type from P, S Related?
P is the sister of S, who is T's father. M is the mother of N, who is T's brother. How is N related to P?
निम्नलिखित पांच में से चार किसी प्रकार से समान हैं और इसलिए एक समूह बनाते हैं। वह एक कौनसा है जो इस समूह में नहीं आता?
TL, YS, UM, KC, RJ
दी गई जानकारी को ध्यान से पढ़ें और उसके बाद दिए गए प्रश्नों के उत्तर दें। छह मित्र A, B, C, D, E और F एक गोलाकार टेबल के गिर्द केंद्र की ओर मुंह करके, इस तरह से बैठते हैं कि उनमें से प्रत्येक के बीच बराबर जगह रहे (आवश्यक नहीं है कि इसी क्रम में हो)।
i) A और D अपने बाएं और दाएं ओर से समान दूरी पर हैं।
ii) E जो D के दाईं और दूसरा है. F के बाएं से दूसरा है।
iii) B, E के सामने कभी नहीं बैठता है।
E के सामने कौन बैठता है?
In this question, after two statements i and ii two conclusions have been given. Believe in given in the statements, consider the two conclusions together and decide that on the basis of the information given in the statements, which of them follows beyond rationally and reasonable doubt.
Statement: All the lights have feathers. There is no light charger.
Conclusion:
i) Some fans are light.
ii) There is no fan charger.
Choose the appropriate one of the following options
(A) only follows the conclusions i
B) Only conclusions follow ii
(C) either i or ii follows
(D) neither i nor ii follows
(E) both i and ii follow
Find the next number in this series.
10, 50, 100, 500, 1000,?
Find the next number in this series.
19, 40, 71, 92, 123,?
Replace the logic used in the first pair with the appropriate option given to the question mark.
E:N:: M:??
एक निश्चित कूट भाषा में, 'DISCIPLINE' को 'DKSCKPLKNG', 'REVOLUTION' को 'RGVQLWTKQN' के रूप में लिखा जाता है। इसी कूट भाषा में 'UNIVERSITY' को किस प्रकार से लिखा जाएगा?
निम्नलिखित विकल्पों में से कौन-सा अक्षर-समूह दी गई श्रृंखला में प्रश्नवाचक चिह्न (?) की जगह पर आएगा ताकि यह श्रृंखला तार्किक रूप से पूर्ण बन सके ?
ADZ, GJF, MPL, SVR, ?
उस विकल्प का चयन कीजिए, जो दिए गए शब्दों के ऐसे सही क्रम का निरूपण करता है, जैसे वे अँग्रेजी शब्दकोश में दिखेंगे।
1. Cartoon
2. Carrier
3. Carrying
4. Carousel
5. Carnival
6. Carriage
उस विकल्प का चयन कीजिए जो पाँचवीं संख्या से उसी प्रकार संबंधित है जिस प्रकार दूसरी संख्या पहली संख्या से सम्बन्धित है और चौथी संख्या तीसरी संख्या से सम्बन्धित है?
98 : 7 ::162 : 9 ::242 : ?
एक महिला की ओर इंगित करते हुए सुमन (एक महिला) ने कहा "वह मेरे ससुर की पत्नी के पुत्र की दादीहै।" वह महिला सुमन से किस प्रकार संबंधित है?
नीचे तीन कथन और उनके बाद तीन निष्कर्ष।, ॥ और ।।। दिए गए हैं। कथनों को सत्य मानते हुए, भले ही वे सर्वज्ञात तथ्यों से भिन्न प्रतीत होते हों, निर्धारित करें कि कौन-सा/से निष्कर्ष कथनों का तार्किक रूप से अनुसरण करता है। करते हैं।
कथनः
कुछ शिक्षक वैज्ञानिक हैं। सभी वैज्ञानिक डॉक्टर हैं।
सभी डॉक्टर इंजीनियर हैं।
निष्कर्षः
1. कुछ डॉक्टर शिक्षक हैं।
।।. कुछ इंजीनियर शिक्षक हैं।
III. कुछ डॉक्टर वैज्ञानिक हैं।
नीचे तीन कथन और उनके बाद तीन निष्कर्ष।, ॥ और ।।। दिए गए हैं। कथनों को सत्य मानते हुए, भले ही वे सर्वज्ञात तथ्यों से भिन्न प्रतीत होते हों, निर्धारित करें कि कौन-सा/से निष्कर्ष कथनों का तार्किक रूप से अनुसरण करता है। करते हैं।
कथनः
कुछ रंग इंद्रधनुष हैं।
कुछ पेंट इंद्रधनुष हैं।
सभी इंद्रधनुष चित्र हैं।
निष्कर्षः
1. कुछ चित्र रंग हैं।
॥. सभी पेंट चित्र है।
III. कुछ चित्र इंद्रधनुष हैं।
निम्नलिखित में से कौन-सी संख्या दी गई श्रृंखला में प्रश्न चिह्न (?) के स्थान पर आएगी?
3, 8, 15, 26, 39, ?
उस विकल्प का चयन करें जो चौथे पद से उसी प्रकार संबंधित है जिस प्रकार पहला पद दूसरे पद से संबंधित है और पांचवां पद छठे पद से संबंधित है।
169 :14:?: 16:: 289: 18
What is the maximum duration limit in which the Rajya Sabha can pass the Mudra bill?
In a certain code language if BLOCK is coded as OEKNF, how will CURVE be coded in that same language?
The statement given in this question shows the relation between the different elements. After this statement, two conclusions are given:
Statement: P> A ≥ N = E <L ≤ S
Conclusion:
i) S> E
ii) L> P
Select the appropriate option from the following options (A) Only conclusion i follow the
(B) only followed Conclusion ii
(C) or follows the i or ii
(D) neither i nor obeys ii to
(E) i and ii both follow
In this question, two statements are given in connection with which three conclusions i, ii and iii have been given. Assuming that these statements are true, let's find out which / which conclusions are definitely true.
Statement: D = E ≥ S> T; T> R <O ≤ Y
Conclusion:
i) E> R
ii) R <Y
iii) S> Y
Find the next number in this series.
8, 25, 59, 76, 110,?
Find the next number in this series.
18, 45, 72, 99, 126,?
Four of the following five are identical in a certain way and hence create a group. Which one is not related to the group?
Alert, Cautious, Watchful, Vigilant, Careless
Please read the given information carefully and then answer the given question. Six students A, B, C, D, E and F are sitting in a row (not necessarily in the same order) facing south
i) A and F are sitting at the end of the line.
ii) B and D are sitting close to each other but they are neither A nor neighbors of F
iii) C, which is sitting on the right fourth of A, sitting between F and D right.
Which of the following statements is wrong with respect to the system?
Find the next number in this series.
8, 20, 44, 92, 188,?
A statement has been given in this question, after which two conclusions i and ii have been given. You have to accept all information given in the statement as true and after that both have to think together on the findings and decide whether any of them is following rationally with any information given in the statement.
Statement: In case of attendance, Vijay is an outstanding student in college.
Conclusion:
i) Vijay is regularly present in the college.
ii) Vijay is a student with good discipline.
Select the appropriate option from the following options
(A) Only the conclusion i follows
(B) Only the conclusion ii follows
(C) either i or ii follows
(D) neither i nor ii follows
(E) both i and ii follow
Place the option instead of the question mark that follows the argument applied to the first pair
Tea: Drink :: Diesel: ??
Three statements have been given in this question after which three conclusions have been given. You have to accept all information given in the statement as truth and then have to think together on the f indings and decide whether any of them is following rationally with any information given in the statement.
Statement: All the radio are televisions. All television transistors are there. There are some radio equipment.
Conclusion:
i) All radio transistors are.
ii) Some devices are televisions
iii) There are some transistor tools.
A girl pointing to a boy said, "She is the son of Daughter-in-law of my mother, uncle's brother's mother." What does that boy have to do with that girl?
Please read the given information carefully and then answer the given question.
Six students A, B, C, D, E and F are sitting in a row (not necessarily in the same order) facing south
i) A and F are sitting at the end of the line.
ii) B and D are sitting close to each other but they are neither A nor neighbors of F
iii) C, which is sitting on the right fourth of A, sitting between F and D right.
If C replaces their position with B, E, D and A, F, then who is sitting on the left side of C?
Two statements are given in this question after which two conclusions i and ii have been given. You have to accept all the information given in the statement as true and after that both the conclusions have to be considered together and deciding which conclusions follow them in a logical manner beyond any reasonable suspicion with the information given in the statement.
Statement: All the mugs are in the world. All cups are mugs.
Conclusion:
i) All cup worlds are.
ii) All jugs are mugs.
Select the appropriate option from the following options (A) Only the conclusion i follows
(B) Only the conclusion ii follows
(C) either i or ii follows
(D) neither i nor ii follows
(E) both i and ii follow
Place the option instead of the question mark that follows the argument applied to the first pair
Fish: Fin :: Birds: ??
Put the option in place of the question mark which follows the argument applied to the first pair H: S :: C: ??
In a certain code language, if HARM is coded as 811813, how will FATE be coded in that same language?
A paragraph has been given in this question after which a statement has been given. Read this paragraph carefully and give your decision on the statement based on the given paragraph. Saint Nicholas Acha Santa Claus lived around 300 AD in Patara in modern Turkey (at that time it was considered a part of ancient Greece). They were the Bishops of Meera and were popular among the poor for their good work, children Loved, and used to visit the needy. He was a screwdriver man equipped with red and golden clothes on his religious office. In the pictures, they are decorated in a traditional environment in the form of a good person who has a stick or a Bible or both. Here Santa Claus is portrayed as a saint of a well-known person in a North Pole with a philanthropist. 13th Century: Bishop Nicholas of Meera was declared / honored by the title of Saint in the first Millennium. In his honor in the 13th century, the Dutch people started collecting coins in torn old shoes kept out of the poor houses and celebrating it as tradition. They say that Saint Nicholas used to do this. Over time, Saint Nicholas Sinterklaas became. To this day, the official Sinterklas of the Netherlands used to wear white clothes, red cloths, and wearing a high cloth head, and a bishop in royal long hair and beard. They often used to travel on a white horse. 16th Century: Now Saint Nicholas became popular throughout Europe. The Dutch Sintclass became Santa Claus in many territories Every year the festival of Saint Nicholas or Santa Claus is celebrated on December 6, which is the death anniversary of the original Bishop of Mira. (Can not say any fixed year but there is no dispute on this date)
Statement:
Saint Nicholas became Sinterklaas in the 16th Century.
Choose the appropriate option from one of the following options
A-Quote is definitely true.
B - The statement is probably true.
C-statement can not be determined.
D-statement is definitely false
How straight lines are in given shape?

Find the next number in this series.
8, 17, 35, 62, 98,?
Select the correct option from the following options which can create a full square (3 of the 5 figures below)

A paragraph has been given in this question after which a statement has been given. Read this paragraph carefully and give your decision on the statement based on the given paragraph. Saint Nicholas Acha Santa Claus lived around 300 AD in Patara in modern Turkey (at that time it was considered a part of ancient Greece). They were the Bishops of Meera and were popular among the poor for their good work, children Loved, and used to visit the needy. He was a screwdriver man equipped with red and golden clothes on his religious office. In the pictures, they are decorated in a traditional environment in the form of a good person who has a stick or a Bible or both. Here Santa Claus is portrayed as a saint of a well-known person in a North Pole with a philanthropist. 13th Century: Bishop Nicholas of Meera was declared / honored by the title of Saint in the first Millennium. In his honor in the 13th century, the Dutch people started collecting coins in torn old shoes kept out of the poor houses and celebrating it as tradition. They say that Saint Nicholas used to do this. Over time, Saint Nicholas Sinterklaas became. To this day, the official Sinterklas of the Netherlands used to wear white clothes, red cloths, and wearing a high cloth head, and a bishop in royal long hair and beard. They often used to travel on a white horse. 16th Century: Now Saint Nicholas became popular throughout Europe. The Dutch Sintclass became Santa Claus in many territories Every year the festival of Saint Nicholas or Santa Claus is celebrated on December 6, which is the death anniversary of the original Bishop of Mira. (Can not say any fixed year but there is no dispute on this date)
Statement: Saint Nicholas was considered a philanthropist.
Choose the appropriate option from one of the following options
A-Quote is definitely true.
B - The statement is probably true.
C-statement can not be determined.
D-statement is definitely false.
A is the good of B which is the only son of C. D is the husband of C. What does B's relation to A's mother?
Please read the given information carefully and then answer the given question.
Six students A, B, C, D, E and F are sitting in a row (not necessarily in the same order) facing south
i) A and F are sitting at the end of the line.
ii) B and D are sitting close to each other but they are neither A nor neighbors of F
iii) C, which is sitting on the right fourth of A, sitting between F and D right.
Who is sitting at the right hand side of B?
Four of the following five are identical in a certain way and hence create a group. Which one is not related to the group? YW, ZX, LC, HF, PN
Read the following statements and answer the following question.
A4B is the mother of A, B is
A3B, meaning A, B is father of
A, B means A5B is A, sister of A is
A7B, which means A is a brother of B.
Which of the following equation shows that ' P is the Grand Aunt of S?
Four of the following five are identical in a certain way and hence create a group. Which one is not related to the group?
S, Q, C, A, X
निम्नलिखित विकल्पों में से उस विकल्प का चयन कीजिए जो पांचवे शब्द से ठीक उसी प्रकार संबंधित है जिस प्रकार चौथा शब्द तीसरे शब्द से संबंधित है और दूसरा शब्द पहले शब्द से संबंधित है।
चींटी : बांबी :: बत्तख: तालाब :: घोड़ा: ?
नीचे एक श्रृंखला दी गई है जिसमें एक पद सुप्त है। दिए गए विकल्पों में से उस विकल्प का चयन कीजिए जो श्रृंखला को पूरा करेगा।
NRT, MQS, LPR, KOQ?
नीचे दिए गए समीकरण में कौन-से दो चिह्नों ओर दो संख्याओं को आपस में बदलने पर निम्नलिखित समीकरण सही होगा?
8 ÷ 4 × 6 + 3 - 9 = 1
एक निश्चित कूट भाषा में TDG को 1680 लिखा जाता है ओर BHI को 432 लिखा जाता है। उसी कूट भाषा में KCE को कैसे लिखा जाएगा?
दिए गए विकल्पों में से निम्नलिखित श्रृंखला से लुप्त संख्या का चयन कीजिए।
0, 1, 5, 14, 30, ?
निम्नलिखित विकल्पों में से दी गई श्रृंखला से लुप्त संख्या का चयन कीजिए। 2673, 891, 297, 99, ?, 11
A, B का पिता है। B, C का भाई है। C, D का पति है। D, E की बहन है। E, F की मां है। F, G की पत्नी है। परिवार में कुल कितने पुरुष है?
The average of 7 numbers is 150. By removing a number, the average remains the same. Describe the extracted number.
At the rate of 5000 rupees invested, 13% per annum is the amount of simple interest, after 4 years. (In rupees)
Which of the following is divisible by 15?
25% of 66.67% of 75% of 80% of a number is 6357, Get 40% of that number
A shopkeeper bought a thing from Rs 232 and sold it for Rs 290. Explain the profit percentage earned by the shopkeeper. (%In)
Interest earned after 5 years on simple interest of 12% per a Tell the amount invested. (In rupees)
The ratio of arms to a quadratic area is 2:3:4:5 and the circumference is 630 cm. Describe the smallest arm. (in cm)
The average weight of eleven players in the state-level cricket team is 107 kg. When the coach is added, the average weight increases to 1 kilogram. What is the weight of the coach? (in kg)
A certain amount is divided into 2 parts in the ratio of 6: 5. If the first part is Rs. 270. Find the total amount. (In rupees)
100 out of a box of 125 detergent soaps is used. What percentage of the detergent soap is left in the box? (% In)
X=0.22888888... Get a different X
When an item is sold at Rs 510, then it is a loss of 15%. Describe the purchase price of the item. (In rupees)
The price of LPG cylinder has increased from Rs 680 to Rs 850. What percentage of consumption should be reduced so that the amount spent on LPG cylinders remained the same? (% In)
Explain the area of the equilateral triangle whose side (arm) is 104 cm. (in cm )
Explain the area of the right-hand part whose diagonal is 99 cm and 100 cm. (in cm)
Trains that run at a speed of 59 meters / second cross a signal in 13 seconds. Find out the length of the train. (In meters)
The ratio of alpha and beta to age is 2: 5. If their age is 280, then tell the difference between their age.
Instructions: Study the following graphs and answer the question based on this.
From 2001 to 2006, the number of vehicles manufactured by X and Y companies (in thousands) make the difference between the total production of both companies in the given years.

To be successful in the competition, Jermilin needs an average score of 75 in four examinations. His score in the first three examinations is 74, 70 and 66. What to score in the fourth test to be successful in the competition?
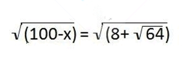
Get the value of X:

The ratio of pen, pencil and eraser to a box is 3, 2: 1. If the pen, pencil and eraser prices are Rs 3, 2 rupees and 2 rupees respectively and the amount spent on the box is Rs 645, find out the number of pen in the box.
The smallest number of two numbers (LCM) is 135 and their maximum consonant (HCF) is 9. If a number is 135, find the second number.
What will be the amount after the period of two years with a compound interest rate of 10% pa per year at 17,300 rupees? (In rupees)
If the 1963 is divided by 9, then what will be the remaining?
The value of the piece of metal has increased from Rs 395 to Rs 474. Show the percentage increase. (% In)
A train takes 40 seconds to cross a signal, which is at one end of a bridge of 473 meters long. If the train takes 83 seconds to cross the bridge, find the length of the train. (In meters)
The width of a rectangle is 220 cm and its diagonal is 572 cm. Describe its dimensions. (in cm)
One shopkeeper bought one thing for Rs 425 and sold it for 340 rupees. Tell the shopkeeper the loss percentage. (% In)
The first lap of the Franklin race completes 610 mph and the second lap of the race completes at 915 mph speed. First find the average speed of both laps. (mph in-mile per hour)
Instructions: Study the following graphs and answer the question based on this. From 2001 to 2006, the number of vehicles manufactured by X and Y companies (in thousands) during which years was the difference between production of company X and company Y ?

67-[90-(88÷11-(28-35÷7)÷23)]
Instructions:
Study the following graphs and answer the question based on this. From 2001 to 2006, the number of vehicles manufactured by X and Y companies (in thousands)
is the difference between the number of vehicles manufactured by the X company in 2001 and 2002?
निम्नलिखित में से कौन सी संख्या 99 से विभाजित है?
The ratio of alpha and beta to age is 2: 5. If the sum of their age is 336, then tell the difference between their age.
Explain the area of the equilateral triangle whose side is 120 cm. (in cm2)
rains running at a speed of 75 meters per second cross a signal in 13 seconds. Find out the length of the train. (In meters)
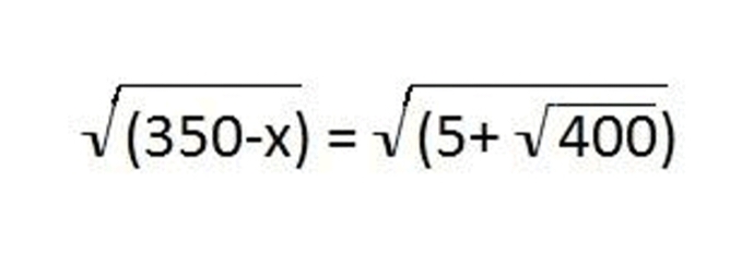
Find the value of X:

A certain amount is divided into 2 parts in the ratio of 6: 5. If the first part is Rs. 318. Find the total amount. (In rupees)
invested at a simple interest rate of Rs. Find the amount to be received after 4 years at the rate of 5,400 to 13% per annum. (In rupees)
Invested at a simple interest rate of Rs. Find the amount to be received after 4 years at the rate of 5,400 to 13% per annum. (In rupees)
When 63410 is divided by 9, what will be the remaining fruit?
The face value of a book is Rs. 5,200. A book seller offers a discount of 10% on this. If he still earns 20% profit then what will be the cost of the book? (In rupees)
The first lap of the Franklin race completes 690 mph and the second lap of the race completes at a speed of 1035 mph. First find the average speed of both laps. (mph in-mile per hour)
The average weight of eleven players' state-level cricket team is 115 kg. When the coach was added, the average weight increased by 1 kg. How much is the weight of the coach? (In Kg)
25% of 66.67% of 75% of 80% of a number is 6373. Find 40% of this number.
The price of LPG cylinder has been increased from Rs.712 to Rs.890. What percentage of consumption should be reduced so that the amount spent on LPG cylinders remains the same? (% In)
A shopkeeper has an item worth Rs. 465 and bought it Sold in 372. Find out the percentage of losses.
Which of the following can be divided by 12?
A train takes 48 seconds to cross a signal which is at one end of a bridge of 473 meters long. If the train takes 91 seconds to cross the bridge, then find the length of the train. (In meters)
Explain the area of the right-hand part whose diagonal is 115 cm and 116 cm. (in cm2)
A shopkeeper has an item worth Rs. It was purchased in 264 and it is worth Rs. Sold in 330. Find the Profit Percentage (% In)
The price of a sponge from metal has been increased from Rs.435 to Rs.522. What percentage increase in this? (% In)
The ratio of arms to a quadrilateral is 2: 3: 4: 5 and the circumference is 742 cm. Describe the smallest arm. (In cm)
To succeed in a competition, Jermilin requires an average score of 75 in four exams. His score in the f irst three examinations is 66, 62 and 58. How many scores should he get in the fourth test to succeed in the competition?
The average of 7 numbers is 158. After removing any number, the average remains the same. Find out the number deleted.
After investing an amount of 12% per annum on the simple interest rate, after 5 years 6,420 interest is received. Find out the amount invested. (In rupees)
At the compound interest rate of 10% pa every year, Rs. Find the amount to be received at 18,100. (In rupees)
The width of a rectangle is 260 cm and its diagonal is 676 cm. Describe its dimensions. (in cm)
The ratio of pen, pencil and eraser to a box is 3, 2: 1. If the prices of each pen, pencil and eraser are Rs 3, 2 rupees and 2 rupees respectively and the amount spent on the box is Rs 765, find out the number of pen in the box
One box contains 120 detergent soaps, 72 of which have been utilized. How many percent detergent soap remains in the box? (% In)
Find a different x, x = 0.73444444 ...
When an object is worth Rs. If sold in 646, then it is a loss of 15%. Find the cost value of that item. (In rupees)
The smallest number of two numbers is LCM 78 and their maximum consonant (HCF) is 26. If the first number is 78, then find the second number
Instructions:
Study the following graphs and answer the question based on this. From 2001 to 2006, the number of vehicles manufactured by X and Y companies (in thousands)
during which years was the difference between production of company X and company Y?

Instructions:
Study the following graphs and answer the question based on this. From 2001 to 2006, the number of vehicles manufactured by X and Y companies (in thousands)
make the difference between the total production of both companies in the given years?

Instructions:
Study the following graphs and answer the question based on this. From 2001 to 2006, the number of vehicles manufactured by X and Y companies (in thousands)
is the difference between the number of vehicles manufactured by the X company in 2001 and 2002?
एक वस्तु का अंकित मूल्प 28500 रुपए है और इसका विक्रय मूल्य 15675 रुपए है। छूट प्रतिशत कितना है?
krekitne =
sahikitne =
yekya =
kitnatime =



